疲劳是常见且复杂的生理状态,受能量耗竭加速、代谢副产物过量滞留、免疫功能紊乱及氧化过程失衡等因素影响。它可引发抑郁焦虑,造成学习工作表现下滑、认知与睡眠障碍及身体机能异常,波及全球超五分之一的人群。
近期,河南科技大学的研究人员在《Food Bioscience》发表了一篇文章,他们发现山茱萸多糖可以凭借其独特的抗疲劳机制,成为现代功能性食品领域的潜力股。
图源:Food Bioscience
1
山茱萸多糖如何抗疲劳?
这项研究通过分离纯化获得山茱萸多糖(CSP1),并以其作为修饰剂和稳定剂成功制备了山茱萸多糖纳米硒(CSP1-SeNPs)。研究人员将70只小鼠随机分为7组,让小鼠连续4周通过灌胃的方式摄入不同剂量的CSP1-SeNPs,并进行每日15分钟的游泳训练,观察其变化。
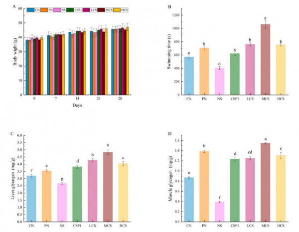
经过4周干预,CSP1-SeNP显著延长了小鼠的力竭游泳时间,显著提升了肌肉和肝脏糖原水平,并增强了过氧化氢酶(CAT)、超氧化物歧化酶(SOD)和谷胱甘肽过氧化物酶(GSH-Px)的活性。此外,CSP1-SeNPs显著降低了血尿素氮(BUN)、血乳酸(BLA)、肌酸激酶(CK)、乳酸脱氢酶(LDH)和丙二醛(MDA)的水平。CSP1-SeNPs还显著增加了小鼠粪便中短链脂肪酸(SCFAs)的含量。
CSP1-SeNPs对小鼠力竭游泳时间等参数的影响
图源:Food Bioscience
16S rRNA基因测序分析显示,CSP1-SeNPs重塑了小鼠肠道微生物群的多样性和组成,小鼠肠道内罗斯氏菌(Roseburia)、拟杆菌(Bacteroides)、乳杆菌(Lactobacillus)等有益菌丰度显著提升。其中,Roseburia能分解碳水化合物生成抗疲劳物质:丁酸,它既为肠道细胞供能,又能抑制炎症;Bacteroides能把山茱萸多糖等难消化成分拆解成小分子糖,为身体补充额外能量。
CSP1-SeNPs对小鼠肠道微生物群的影响
图源:Food Bioscience
总之,CSP1-SeNPs可被肠道微生物群利用,通过促进有益菌的增殖和短链脂肪酸的产生,发挥抗疲劳作用。
2
古老的药食同源:山茱萸
山茱萸(Cornus officinalis Sieb)属于山茱萸科,主要分布在中国、韩国和日本等东亚地区。山茱萸的叶子柔软,在早春开出亮黄色的小花,在夏末结出肉质、亮红色、樱桃状的果实。 它在中医中已有近两千年的应用历史,并广泛用于东亚地区的传统医学。其最早的记载可追溯至《神农本草经》。在中医理论中,山茱萸具有酸、涩、温的特性,长期以来被用于改善眩晕、耳鸣、腰膝不适、遗精、多汗等疾病。
图源:pixabay
2023年,国家卫健委,市场监督管理总局发布公告(2023 年第 9 号),正式将山茱萸纳入药食同源物质,其应用逐渐扩展到滋补食品、保健饮品和膳食补充剂等领域。在国外, 山茱萸食品已得到广泛应用,其成熟红色可食浆果,多被制成水果茶、蜜饯等产品;其果汁有时会经发酵转化为果酒;未成熟的果实则能以食醋腌制,得到风味和外形均类似腌橄榄的加工品。
图源:kalamala/artfood
3
山茱萸多糖的更多发现
山茱萸富含多种活性成分,包括多酚、多糖、黄酮类化合物、皂苷、维生素和矿物质。其中,山茱萸多糖(含有葡萄糖、阿拉伯糖、岩藻糖、木糖、甘露糖和鼠李糖等)被认为是该植物的主要功能性成分之一,具有丰富的生理和药理活性,例如抗氧化、抗菌、降血糖、降血脂、抗炎特性,以及免疫调节、肾脏保护和神经保护活性。
抗氧化:研究发现,山茱萸多糖能高效清除羟基自由基、超氧阴离子、ABTS自由基等活性氧。抑制脂质过氧化反应。山茱萸多糖还能激活超氧化物歧化酶、过氧化氢酶、谷胱甘肽过氧化物酶的活性,同时降低脂质过氧化产物丙二醛的水平,减少自由基对DNA、蛋白质的损伤,从而缓解氧化应激相关疾病(如炎症、衰老、心血管疾病)的发生风险。
降血糖:山茱萸多糖能改善胰岛素抵抗,增强肝细胞(如HepG2 细胞)对葡萄糖的摄取与消耗;让链脲佐菌素诱导的糖尿病大鼠摄入山茱萸多糖,可降低大鼠空腹血糖、糖化血红蛋白(HbA1c)水平,抑制 α-淀粉酶、α-葡萄糖苷酶活性,同时改善肝糖原储备和脂质代谢紊乱,减轻糖尿病相关肝损伤。
增强免疫力:山茱萸多糖能激活T细胞、B淋巴细胞、巨噬细胞等核心免疫细胞,增强其吞噬能力和细胞毒性,提升机体非特异性免疫应答。
抗衰老:山茱萸多糖可通过清除衰老相关自由基、调节端粒酶活性,延缓细胞衰老进程,在秀丽隐杆线虫模型中已观察到其延长寿命、改善衰老相关行为的效果。




